[Baekjoon] 21611: 마법사 상어와 블리자드
문제

상하좌우로 블리자드를 쏴대는 상어 문제이다.
예시가 궁금하다면 여기서 확인하자. [Baekjoon] 21611: 마법사 상어와 블리자드
21611번: 마법사 상어와 블리자드
마법사 상어는 파이어볼, 토네이도, 파이어스톰, 물복사버그, 비바라기 마법을 할 수 있다. 오늘 새로 배운 마법은 블리자드이고, 크기가 N×N인 격자에서 연습하려고 한다. N은 항상 홀수이고, (
www.acmicpc.net
풀이
내 풀이
import java.io.BufferedReader;
import java.io.IOException;
import java.io.InputStreamReader;
import java.util.*;
public class Q21611 {
private static BufferedReader br = new BufferedReader(new InputStreamReader(System.in));
private static int[] startOrder = {7, 3, 1, 5}; // 0: 상, 1: 하, 2: 좌, 3: 우
private static int[][] moveDirections = {{0, -1}, {1, 0}, {0, 1}, {-1, 0}};
private static int[] boomCounts = {0, 0, 0};
private static List<Integer> marbles = new ArrayList<>();
private static int n, m;
private static int[][] map;
public static void main(String[] args) throws IOException {
input();
addMarbles();
if (marbles.size() == 0) {
System.out.println(0);
return;
}
blizzard();
System.out.println(boomCounts[0] + (boomCounts[1] * 2) + (boomCounts[2] * 3));
}
private static void input() throws IOException {
String[] input = br.readLine().split(" ");
n = Integer.parseInt(input[0]);
m = Integer.parseInt(input[1]);
map = new int[n][n];
for (int i = 0; i < n; i++) {
String[] row = br.readLine().split(" ");
for (int j = 0; j < n; j++) {
map[i][j] = Integer.parseInt(row[j]);
}
}
}
private static void addMarbles() { // 구슬들을 1차원 리스트에 넣는다.
int straightDistance = 1;
int straightCount = 0;
int turnCount = 0;
int curRow = n / 2;
int curCol = n / 2;
int curDirection = 0;
while (true) {
curRow += moveDirections[curDirection][0];
curCol += moveDirections[curDirection][1];
if (map[curRow][curCol] == 0) {
break;
}
marbles.add(map[curRow][curCol]);
if (curRow == 0 && curCol == 0) {
break;
}
straightCount++;
if (straightCount == straightDistance) {
straightCount = 0;
curDirection = (curDirection + 1) % 4;
turnCount++;
if (turnCount == 2) {
turnCount = 0;
straightDistance++;
}
}
}
}
private static void blizzard() throws IOException {
for (int i = 0; i < m; i++) {
String[] blizzard = br.readLine().split(" ");
int direction = Integer.parseInt(blizzard[0]) - 1;
int distance = Integer.parseInt(blizzard[1]);
Deque<Integer> indexes = new ArrayDeque<>();
int curMarbleCount = marbles.size();
int count = 2;
for (int j = 0; j < distance; j++) {
int index = (4 * count * (count - 1)) - ((8 - startOrder[direction]) * (count - 1)); // 없애는 구슬의 인덱스를 구하기 위한 수식
if (index > curMarbleCount) {
break;
}
indexes.offerLast(index - 1); // 인덱스에 넣는다. 왜 why?
count++;
}
while (!indexes.isEmpty()) { // 삭제 연산을 거꾸로 해야 영향이 없기 때문
int index = indexes.pollLast();
marbles.remove(index);
}
while (boom()) {
}
transform();
}
}
public static boolean boom() { // 구슬 폭발: 투 포인터를 사용하여 폭파시킨다.
boolean boom = false;
List<Integer> newMarbles = new ArrayList<>();
int marbleCount = marbles.size();
int left = 0;
int right = 0;
while (right < marbleCount) {
if (marbles.get(left).equals(marbles.get(right))) { // 왼쪽 포인터와 오른쪽 포인터의 값이 같으면 오른쪽 포인터를 1 증가시킨다.
right++;
continue;
}
// 포인터의 값이 서로 다르다면
int num = marbles.get(left);
if (right - left < 4) { // 오른쪽 포인터와 왼쪽 포인터의 차가 4 미만이라면 왼쪽 포인터가 가리키는 값을 (right-left)만큼 넣어준다.
for (int i = 0; i < right - left; i++) {
newMarbles.add(num);
}
} else { // 4 이상이면
boom = true; // 붐!
boomCounts[num - 1] += (right - left); // 붐 카운트를 (right-left)만큼 증가시킨다.
}
left = right;
}
if (left < marbleCount) {
int num = marbles.get(left);
if (right - left < 4) {
for (int i = 0; i < right - left; i++) {
newMarbles.add(num);
}
} else {
boom = true;
boomCounts[num - 1] += (right - left);
}
}
marbles = new ArrayList<>(newMarbles);
return boom;
}
public static void transform() { // 변환
List<Integer> newMarbles = new ArrayList<>();
int marbleCount = marbles.size();
int left = 0; // 폭발과 똑같은 투 포인터 방식으로 했다.
int right = 0;
while (right < marbleCount) {
if (marbles.get(left).equals(marbles.get(right))) { // 같으면 오른쪽 증가
right++;
continue;
}
// 다르면 (right-left)의 수를 넣고, left가 가리키는 수를 넣는다.
int num = marbles.get(left);
newMarbles.add(right - left);
newMarbles.add(num);
left = right;
}
if (left < marbleCount) {
int num = marbles.get(left);
newMarbles.add(right - left);
newMarbles.add(num);
}
marbles = new ArrayList<>(newMarbles.subList(0, Math.min(newMarbles.size(), n * n - 1)));
}
}
먼저 구슬을 없애는 인덱스를 구하는 수식을 살펴보자.
다음과 같이 맵에 보기 쉽게 순서를 적어보았다.

여기서 상하좌우의 숫자를 순서대로 보자.
7, 22
3, 14
1, 10
5, 18
음,,, 잘 안보이는 것 같다. 다시 더 크게 그려보겠다.

7, 22, 45
3, 14, 33
1, 10, 27
5, 18, 39
이제 좀 잘 보이는 것 같다. 혹시 규칙을 찾았는가??
각 수의 차이를 살펴보면
(7), 15, 23
(3), 11, 19
(1), 9, 17
(5), 13, 21
오 각 차이가 등차를 이룬다. 즉 계차수열 공식을 통해 일반항을 도출할 수 있다는 얘기이다.
잘 모르겠다면 직접 9개 맵까지 그려보자
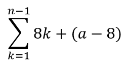
그럼 다음 공식을 사용하여 구할 수 있다.

여기서 a는 초기항을 의미한다. 즉 1, 3, 5, 7을 넣으면 된다.
만약 9, 11, 13, 15가 아닌, 1, 3, 5, 7부터의 수열을 구하고 싶다면

이므로,

이렇게 식을 구할 수 있다. 이제 이 식을 정리하면,

이렇게 일반항을 구할 수 있다.
투 포인터 방식을 좀 더 보충 설명하자면, 초기에 다음과 같이 시작한다 가정해보자.

그럼 왼쪽과 오른쪽 포인터가 가리키는 값이 같으므로 오른쪽이 증가할 것이다. 이렇게 4번 반복되어 5번째 값인 2까지 이동한다.

이 상태가 되면, 오른쪽 인덱스에서 왼쪽 인덱스를 뺀, 즉 왼쪽과 오른쪽 포인터 사이 길이를 체크한다.
여기서 길이가 4미만이라면 길이만큼 반복하여 왼쪽 포인터가 가리키는 값을 새 리스트에 넣어준다.
만약 4이상이라면 새 리스트에 넣지 않고 그냥 1번 구슬의 폭발 카운트를 4만큼 증가시켜준다.
이후 다음과 같이 왼쪽 포인터를 오른쪽으로 다시 옮긴다.

회고
문제가 어렵지 않았지만, 너무 번거로운 구현 문제였다.
'Algorithm > PS' 카테고리의 다른 글
| [Baekjoon] 22856: 트리 순회 (0) | 2023.06.14 |
|---|---|
| [Baekjoon] 15898: 피아의 아틀리에 ~신비한 대회의 연금술사~ (1) | 2023.05.10 |
| [Baekjoon] 2176: 합리적인 이동경로 (0) | 2023.05.10 |
| [Baekjoon] 1943: 동전 분배 (0) | 2023.05.10 |
| [Baekjoon] 11401: 이항 계수 3 (0) | 2023.03.30 |
댓글
이 글 공유하기
다른 글
-
[Baekjoon] 22856: 트리 순회
[Baekjoon] 22856: 트리 순회
2023.06.14 -
[Baekjoon] 15898: 피아의 아틀리에 ~신비한 대회의 연금술사~
[Baekjoon] 15898: 피아의 아틀리에 ~신비한 대회의 연금술사~
2023.05.10 -
[Baekjoon] 2176: 합리적인 이동경로
[Baekjoon] 2176: 합리적인 이동경로
2023.05.10 -
[Baekjoon] 1943: 동전 분배
[Baekjoon] 1943: 동전 분배
2023.05.10